728x90
반응형
1. 실제 그래프 VS 랜덤 그래프
- 실제 그래프(Real Graph)란 다양한 복잡계로부터 얻어진 그래프
- 소셜 네트워크, 전자 상거래 구매 내역, 인터넷, 웹 그래프..
- 랜덤 그래프 (Random Graph)란 확률적 과정을 통해 생성한 그래프
- ex: 에르되스-레니 랜덤 그래프 (Erdos-Renyi Random Graph)
- 임의의 두 정점 사이에 간선이 존재하는지 여부는 동일한 확률 분포에 의해 결정됨
- G(n, p)
- n개의 정점
- 임의의 두 정점 사이에 간선이 존재할 확률은 p
- 정점 간의 연결은 서로 독립적(Independent)
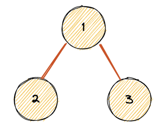
- Q : G(3, 0.3)에 의해 생성될 수 있는 그래프와 각각의 확률은?
정점 3개, 간선이 존재할 확률 0.3 ( = 간선이 존재하기 않을 확률 0.7)
- ex: 에르되스-레니 랜덤 그래프 (Erdos-Renyi Random Graph)
![]() |
![]() |
![]() |
![]() |
| $0.3^3$ | $0.3^2 \times 0.7 $ | $0.3^2 \times 0.7 $ | $0.3^2 \times 0.7 $ |
![]() |
![]() |
![]() |
![]() |
| $0.3 \times 0.7^2 $ | $0.3 \times 0.7^2 $ | $0.3 \times 0.7^2 $ | $0.7^3 $ |
2. 작은 세상 효과
필수 개념 : 경로, 거리 및 지름
경로 (Path)
- 다음 조건을 만족하는 정점들의 순열(Sequence)
- u에서 시작해서 v에서 끝나야 함
- 순열에서 연속된 정점은 간선으로 연결되어 있어야 함
(이 조건만 만족하면 순열에 같은 정점을 여러 번 지날 수 있음 ≒경로임에는 변함이 없음)
- 경로의 길이는 해당 경로 상에 놓이는 간선의 수로 정의됨
거리 (Distance)
정점 u와 v 사이의 거리는 u와 v 사이의 최단 경로의 길이
지름 (Diameter)
그래프의 지름은 정점 간 거리의 최댓값
(그래프에 존재하는 모든 정점의 쌍의 거리를 계산해서 그중 가장 큰 값)
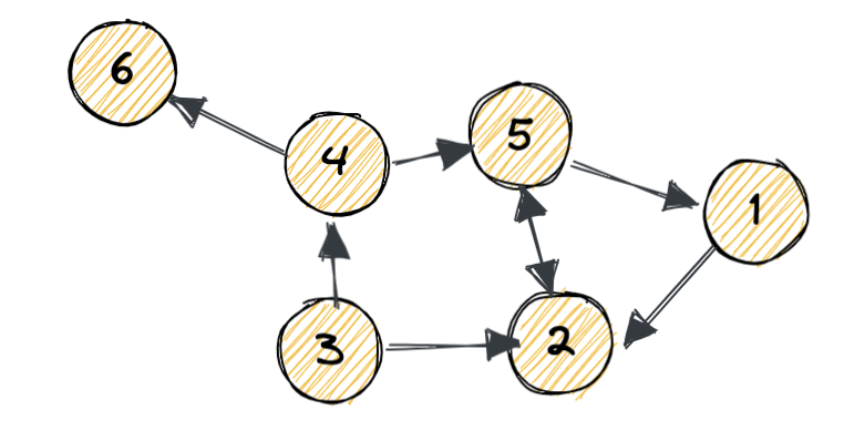
![]() |
정점 1과 8사이의 경로 예시 |
| 1, 4, 6, 8 1, 3, 4, 6, 8 1, 4, 3, 4, 6, 8 |
|
| 정점 1과 8사이의 경로가 아닌 순열의 예시 | |
| 1, 6, 8 (조건 2 위배) 1, 3, 4, 5, 6, 8 (조건 2 위배) |
|
| 경로의 길이 | |
| 경로 1, 4, 6, 8 : 3 경로 1, 3, 4, 6, 8 : 4 경로 1, 4, 3, 4, 6, 8 : 5 (정점 개수 - 1) |
|
| 정점 1과 8 사이의 거리 | |
| 1과 8사이의 최단 경로 = {1,4,6,8} 해당 경로의 길이 = 3 즉, 정점 1과 8사이의 거리 = 3 |
|
| 해당 그래프의 지름 | |
| 모든 정점의 쌍 중 가장 거리가 큰 경로는 {2,3,4,6,8} 즉, 본 그래프의 지름은 4 |
작은 세상 효과
임의의 두 사람을 골랐을 때, 몇 단계의 지인을 거쳐 연결되어 있을까?
여섯 단계 분리 실험 (Six Degrees of Separation)
- 1960년대 사회학자 스탠리 밀그램(Stanley Milgram)에 의해 수행된 실험
- 오마하와 위치타의 사람들이 지인을 통해서만 보스턴에 있는 한 사람에게 편지를 전달하게 한 실험
- 결과 : 실험 대상 중 25%의 편지만 도착했지만 평균적으로 6단계 만을 거침

MSN 메신저 그래프
- 정점 간의 평균 거리는 7 (거대 연결 구조만 고려한 경우)

작은 세상 효과 (Small-world Effect)
- 위와 같은 현상을 일컬음
- 즉, 사람들은 소수의 공통된 지인을 통해 연결됨
- 높은 확률로 랜덤 그래프에도 존재함
- 모들 그래프에서 작은 세상 효과가 존재하는 것은 아님 : 체인(Chain), 사이클(Cycle), 격자(Grid) 그래프에서는 작은 세상 효과가 존재하지 않음

3. 연결성의 두터운 꼬리 분포
필수 개념 : 연결성
- 정점의 연결성(Degree)은 정점과 연결된 간선의 수
- 연결성 = 해당 정점의 이웃의 수
- $d(v), d_v$ 또는 $|N(v)|$
나가는 연결성 (Out Degree)
- 해당 정점에서 나가는 간선의 수를 의미
- $d_{out}(v)$. $|N_{out}(v)|$
들어오는 연결성 (In Degree)
- 해당 정점으로 들어오는 간선의 수
- $d_{in}(v)$, $|N_{in}(v)|$
![]() |
$d_{in}(1) = 1, d_{out}(1) = 1$ $d_{in}(2) = 3, d_{out}(2) = 1$ $d_{in}(3) = 0, d_{out} = 2$ $d_{in}(4) = 1, d_{out}(4) = 2$ $d_{in}(5) = 2, d_{out}(5) = 2$ $d_{in}(6) = 1, d_{out}(6) = 0$ |
연결성의 두터운 꼬리 분포
실제 그래프
- 실제 그래프의 연결성 분포는 두터운 꼬리(Heavy Tail)를 가짐
- 즉, 연결성이 매운 높은 허브(Hub) 정점이 존재

랜덤 그래프
- 랜덤 그래프의 연결성 분포는 높은 확률로 정규 분포와 유사
- 즉, 허브 정점이 존재할 가능성이 0에 가까움


다음 포스트에 이어서 작성하겠습니다.
2022.09.28 - [Analysis] - [그래프] 2-2. 그래프 패턴
[그래프] 2-2. 그래프 패턴
이전 포스트에 계속되는 내용입니다 2022.09.27 - [Analysis] - [그래프] 2-1. 그래프 패턴 [그래프] 2-1. 그래프 패턴 1. 실제 그래프 VS 랜덤 그래프 실제 그래프(Real Graph)란 다양한 복잡계로부터 얻어진
sha-sha-sha.tistory.com
edwith의 그래프와 추천 시스템 강의를 듣고 정리 한 내용입니다.
https://www.edwith.org/ai211/joinLectures/316864
그래프와 추천 시스템 강좌소개 : edwith
- 부스트코스
www.edwith.org
728x90
반응형
'Analysis' 카테고리의 다른 글
| [그래프] 3. 페이지랭크 (0) | 2022.10.06 |
|---|---|
| [그래프] 2-2. 그래프 패턴 (0) | 2022.09.28 |
| [그래프] 1-2. 필수 기초 개념 (0) | 2022.09.27 |
| [그래프] 1-1. 그래프 이론기초 (0) | 2022.09.26 |
| [논문리뷰]Learning to Propagate Labels: Transductive Propagation Network for Few-shot Learning (0) | 2022.07.27 |









